Un Observatoire du sport départemental partagé sur internet : attendus et expérience

Alexandre MOINE (Auteur)
131 – 146
Le Sport : Phénomène et pratiques
N° 34 — Vol. 10 — 31/12/2006

Dans le cadre des nouvelles politiques d’aménagement du territoire en France, la Loi d’orientation, d’aménagement et de développement durable du territoire (LOADDT 1999) a promu le sport au rang de service public en affirmant son rôle dans la structuration et le développement des territoires. Cependant, la multiplicité des acteurs et des échelles d’intervention, les multiples données hétérogènes qui décrivent le phénomène, posent de sérieuses questions méthodologiques. La mise en place d’une démarche d’analyse du fait sportif dans un cadre départemental et la structuration des informations recueillies ont conduit à la mise en place d’un outil d’observation conçu comme un véritable outil d’aide à la décision.

Des besoins à identifier, des acteurs multiples

L’affirmation d’un service collectif

Les orientations d’aménagement du territoire à l’échelle nationale, recoupent des préoccupations aujourd'hui régionales et locales et l’on se rend compte de plus en plus de «l’attention accordée aux réalités, aux observations concrètes, empiriques, fonctionnelles qui donnent du sens à la proximité et aux dimensions des territoires». Ces évolutions nécessitent de se doter d’outils capables de gérer la multitude d’informations qui en ressort. Dans le cadre du phénomène sportif, il est ainsi souligné «le faible degré de coordination des politiques sportives territoriales et la difficulté de construire les partenariats nécessaires», et l’on peut ajouter l'étroite relation avec «l’insuffisance des instruments de connaissance du fait sportif (…), au niveau statistique, au niveau de la mesure de son développement (…), rendant impossible la production des précisions nécessaires à toute action anticipatrice»[1].

Echelles et décideurs

Les attentes sont maintenant clairement identifiées, à l'échelle régionale, départementale, communale et intercommunale. Pratiqué en France par près de 25 millions de personnes dont 14 millions de titulaires de licences, adhérents à l'une des 173 900 associations sportives, le sport est devenu un phénomène majeur de notre société contemporaine. Les équipements, les activités, les emplois qui lui sont liés participent directement du fonctionnement des territoires.

- A l'échelle régionale les réflexions s'organisent autour de la mise en place des schémas de services collectifs (SSC). Si les résultats de ces travaux sont intéressants, ils posent par contre le problème du recueil, de l’organisation, de la pérennisation des multiples bases de données mobilisées, alors que "l’Etat propose aux régions de définir des choix stratégiques et notamment d’effectuer un diagnostic permanent tant sur les aspects de l’offre que de la demande, en relation avec les comités régionaux d’aménagement et de développement du territoire (CRADT)".

  • A l'échelle départementale, «les activités sportives constituent un domaine d’action partagé lié à la vie des citoyens, nécessaire à l’équilibre territorial et à la cohésion sociale». Or les Directions départementales jeunesse et sport peinent à organiser une information très disparate, peu informatisée et faiblement centralisée. Les Conseils généraux disposent, quant à eux, de moyens encore moins performants dans la mesure où la dimension sportive ne figurait pas jusqu’alors dans leurs prérogatives prioritaires.

  • A l’échelle des communes enfin, la Loi relative à l’administration territoriale de la République (1992), a fixé de nouveaux cadres pour le développement local et de nouveaux cadres territoriaux émergent. L’intercommunalité nécessite de gérer les territoires concernés en arbitrant des demandes souvent contradictoires qui doivent être confortées ou réfutées sur la base d’arguments solides. A ce titre, les Schémas directeurs demeurent les pierres angulaires d’un développement urbain local cohérent[2], tandis que les Chartes de pays organisent progressivement les espaces ruraux.

L’enjeu est donc important et incite les acteurs du développement local à se doter d’outils performants capables de représenter la complexité territoriale locale qu’ils doivent être en mesure de gérer.

Identifier et répondre à des attentes méthodologiques

Les édiles qui nous gouvernent demeurent souvent perplexes lorsqu’il s’agit de percevoir dans leur globalité et leur complexité, l’organisation spatiale de leurs territoires. Ils se heurtent aux problèmes suivants :

  • La multiplicité des sources dans le seul domaine des sports :

  • des équipements définis par leur taille, leur capacité à accueillir des pratiques différentes, leurs horaires d’ouverture, leur coût de fonctionnement, la date de leur construction et des éventuelles rénovations, etc.,

  • des sites de pleine nature dont l’extension peut-être importante (réseaux pédestres, VTT, équestres, voies navigables, etc.),

  • des pratiquants localisés aux lieux de pratique, de résidence, et caractérisés suivant leur âge, leur catégorie socio-professionnelle, leur cellule familiale, etc.,

  • des pratiques caractérisées par une offre de la part de multiples associations ou clubs dont les caractéristiques et les objectifs sont très variables,

  • des associations et des sociétés qui offrent différentes possibilités de pratiques.

  • L’hétérogénéité des données recensées: un gymnase n’est pas un chemin pédestre, un pratiquant n’est pas un terrain de tennis, les plages horaires d’occupation d’une salle ou la date de rénovation d’un équipement n’ont rien à voir avec le lieu de résidence d’un footballeur etc.,

  • La nécessité d’intégrer le temps: les pratiques évoluent, les équipements aussi, ainsi que leur environnement (accessibilité, concentration de services, qualité de vie), le profil des pratiquants évolue également (la population de certaines communes vieillit ou rajeunit induisant une modification des pratiques sportives, leur disparition ou leur apparition),

  • La nécessité de localiser équipements, pratiques et pratiquants afin de juger de leur répartition relative (aires de chalandises, sur ou sous-équipement de certains espaces), des déplacements générés par ces localisations en vue de les optimiser.

Le service public présente donc des enjeux territoriaux forts, et les partenaires impliqués attendent des méthodes et des outils capables de maîtriser la complexité engendrée par la multiplicité des données et des échelles territoriales qu’ils gèrent quotidiennement.

Un observatoire: simple dans son principe, délicat à mettre en oeuvre

Connaître pour décider

Quel que soit l’objectif d’une politique, elle s’appuie d’abord sur un constat des faits. Or aujourd’hui les multiples données décrivant le sport, à quelque échelle que ce soit, nécessitent une mise en forme que seule la mise en place d’observatoires peut autoriser. L’éventail des questions auxquelles il s’agit de répondre est aussi large qu’est étroite la connaissance objective du phénomène: équipements mal recensés ou décrits, méconnaissance d’une pratique réelle au-delà de son expression institutionnelle, plus trivial encore, capacité à maîtriser selon des termes de temps défini, la collecte des données si imparfaite soit-elle. En un mot, il s’agit d’observer les territoires.

La démarche proposée au travers de l’expérience de l’Observatoire du fait sportif du département du Jura (SPODJ), doit permettre aux décideurs de trancher, sur une connaissance aussi objective que possible des faits; il s’agit de dépasser l’aspect anecdotique du sport pour le considérer, ce qu’il est, comme une activité et une dimension sociale et économique à part entière, renseigné au même titre que d’autres éléments qui participent au fonctionnement de la société.

Au-delà du descriptif technique (couplage de la base de données avec un SIG, partage internet de l’Observatoire),nous fondons notre démarche sur plusieurs étapes:

  • identification des éléments nécessaires à la compréhension du fait sportif dans un cadre départemental (quels acteurs, quels objets, quelles échelles d’analyse sur quelle durée?),

  • identification de la demande des partenaires (qui veut savoir quoi?),

  • détermination des indicateurs répondant à la demande exprimée,

  • mise en relation des données permettant de décrire ces éléments en interaction,

  • mise en place des interfaces permettant d’alimenter et d’exploiter l’observatoire,

  • partage de l’accès sur internet, entre les différents acteurs.

Le SPODJ: une expérience originale dans le département du Jura

La Direction départementale jeunesse et sport (Guy Fabretti-DDJS) du Jura, le Comité départemental olympique et sportif du Jura (CDOS) et le Conseil général du Jura ont exprimé un besoin de connaissance du fait sportif dans leur département. La connaissance, sur un territoire donné de l’offre de services et d’équipements sportifs ainsi qu’une bonne appréhension de la pratique apparaissent de plus en plus comme l’un des enjeux majeurs de la gestion et de la planification territoriale. Complétée par une identification de la demande et par la confrontation de ces deux termes, il devient alors possible de mettre en évidence des espaces sur ou sous-équipés, de raisonner en terme d’accessibilité, d’orienter des subventions, de réaliser des diagnostics (SPODJ I[3]: 2001, Mise en place du diagnostic du fait sportif dans le Jura, Assises du sport, Décembre 2001 à Lamoura), des projections et des scénarios, afin de promouvoir des politiques cohérentes de développement.

Répondre à de tels types de questionnements implique :

  • de disposer des informations pertinentes et nécessaires dans les domaines précités,

  • de les réactualiser et de les mettre en cohérence en développant de véritables Systèmes d’information territoriaux (SIT) conçus dans une optique de moyen à long terme, pour la gestion, l’étude et la planification (SPODJII[4]: 2002 – 2003, Elaboration d'un Observatoire du fait sportif dans le Jura).

Par ailleurs, cette expérience montre l’importance du rôle des acteurs dans l’élaboration d’un observatoire. Ils doivent être partie prenante dans sa fabrication et surtout dans son maintien en état de fonctionner. On peut identifier quatre étapes fondamentales pour les acteurs autour de la mise en place de l’Observatoire:

  • la définition des objectifs de l’Observatoire: qu’est-ce qu’on observe, à quelle fréquence, pour mettre en place quels indicateurs?,

  • la mise en place du cœur de l’Observatoire autour du Modèle conceptuel de données qui doit être validé par les différents acteurs,

  • la création des interfaces utilisateurs: qui va interroger l’Observatoire pour savoir quoi?,

  • le partage des accès sur le serveur qui nécessitent de savoir qui peut avoir accès, à quoi en fonction de quels critères (administrateur, fournisseur et exploitant de données, exploitant de données seul, etc)?

La dernière étape qui consiste en la mise en production de l’Observatoire est importante (SPODJ III[5]: 2004, Mise en production de SPODJ). En effet, les efforts consentis auparavant peuvent ne déboucher que sur une faible exploitation si les acteurs ne s’approprient pas les outils. Un observatoire ne vit que s’il est renseigné, et surtout exploité. Le partage des accès est donc fondamental et suscite quelquefois des difficultés tant l’information qu’il contient peut être perçue comme stratégique par certains qui souhaitent alors en restreindre l’accès. Au travers de ce que nous venons de décrire, l’expérience montre qu’il est possible de rendre compte de la complexité du fonctionnement des territoires. Un observatoire correctement bâti doit donc susciter des négociations puisqu’il est le reflet de territoires forcément en tension.

Nous pouvons d’ores et déjà nous rendre compte de quelle manière ce type d’outil peut être approprié localement par des partenaires en charge de la gestion du phénomène sportif. Ainsi, grâce à la collaboration active de Mr Alain Hamida, Directeur des sports de la ville de Dole, qui avait adopté une démarche totalement en phase avec SPODJ (recueil de données sur les équipements, les associations mais aussi sur le matériel et les agents afin d’élaborer un outil de gestion), nous avons pu nous apercevoir que les intérêts convergeaient. Son approche centrée sur la gestion des équipements, du matériel et du personnel affecté à leur entretien est maintenant complétée par les fonctionnalités d’observation de SPODJ dans une perspective plus globale d’aide à la décision. Les deux démarches s’appuient sur un socle commun de données, exploitées tantôt sous un angle de gestionnaire, tantôt sous un angle de diagnostic en vue d’une aide à la décision. L’expérience doit aujourd’hui s’élargir à l’échelle intercommunale et pourquoi pas à celle du Pays local.

Une combinatoire d’outils pour aborder la complexité d’un territoire

Les attendus de la demande exprimée nous ont conduit à proposer un concept d’outil centré sur la notion de base de données, prenant en charge la gestion, la mise à jour et l’interrogation des données thématiques (sportives, socio-économiques…). Cette base de données développée sur SQL Serveur, mise en relation et exploitée par un ensemble d’outils dédiés, notamment un logiciel de système d’information géographique (Mapinfo), chargé de la gestion et de l’analyse des données géographiques, constitue dans son ensemble un véritable système d’information territorial. Cette architecture peut être complétée, en fonction des besoins, par l’adjonction d’outils cartographiques et statistiques notamment, le tout offrant une maîtrise satisfaisante du cycle de vie des données. Cette solution offre ainsi la possibilité de disposer d’un véritable outil de gestion au quotidien, des territoires et des pratiques sportives qui permet:

  • de consulter de multiples indicateurs liés aux équipements (type, taille, date de construction, de rénovation, composition, planning d’occupation, etc.), aux pratiques (clubs et leurs caractéristiques) et aux pratiquants (sexe, âge, club d’appartenance),

  • de réaliser des cartes doublement dynamiques puisqu’elles permettent de prendre en compte instantanément toute modification dans la base, et peuvent être modifiées à volonté (discrétisation, type de représentation, etc.),

  • de poser des requêtes complexes qui vont utiliser les liens mis en place entre les données (accessibilité des équipements, intensité des pratiques, féminisation des pratiques, etc.),

  • de suivre des évolutions puisque la profondeur d’analyse de tous les indicateurs est de 5 ans,

  • d’interroger à différentes échelles, du département à la commune, en passant par le canton, les structures communales et les Pays.

Un accès internet qui garantit la richesse et le partage de l’information

Aujourd’hui, la compréhension des dynamiques spatiales, l’anticipation des évolutions relatives à un territoire, les projections en relation avec des politiques à mettre en œuvre, bref la prise de décision, nécessite pour les différents acteurs territoriaux de disposer d’outils fiables, faciles à mettre en œuvre et qui permettent de mobiliser des données dont on est certain qu’elles signifient la même chose, autour d’indicateurs partagés.

Ceci passe nécessairement par la mise en place de techniques fondées sur l’utilisation des réseaux à haut débit, à la fois pour renseigner et actualiser la base de données, mais également pour exploiter les informations qui y sont contenues. La structuration de l’Observatoire autour d’un serveur web de données connecté à un serveur de cartes, permet donc:

  • une production d’informations valides à partir d’une base de donnée unique,

  • une actualisation à tous moments de la base, et une prise en compte immédiate des modifications dans la construction des indicateurs (tableaux, graphiques, cartes),

  • une réactivité maximale des différents acteurs qui sont en permanence face à des données identiques et validées de manière commune,

  • une économie de moyens considérable puisque les logiciels utilisés ne sont acquis qu’en un exemplaire et réactualisés de la même manière évitant les multiples versions.

Quelques exemples d’exploitation de l’Observatoire SPODJ

La mise en commun des ressources, la structuration des informations selon les attentes des différents partenaires conduit à la mise en œuvre d’un outil très performant. Nous présentons ici quelques exemples d’exploitation de l’Observatoire, autour de questions qui intéressent le service des sports de la ville de Dole. En effet, une collectivité disposant d’un service des sports structuré peut trouver des éléments concernant ses propres équipements; par contre, les petites communes ont parfois du mal à extraire des données fines de leurs propres équipements pour de multiples raisons: soit en raison du manque de temps ou de l’absence de personnes en charge des affaires sportives.

Répondre à des questionnements à l’échelle des pratiquants

Nous pouvons visualiser les taux de pratique, identifier le potentiel des pratiquants en croisant des informations sur la pratique recueillies auprès des différentes fédérations sportives, mais aussi sur la scolarisation et la population grâce aux données du rectorat et de l’INSEE qui sont collectées et transférées dans la base de données. Ainsi, par exemple, nous connaissons la localisation géographique des écoles qui fréquentent la piscine couverte d’un territoire, et nous pouvons en déduire le nombre et la provenance de celles qui n’y ont pas accès…

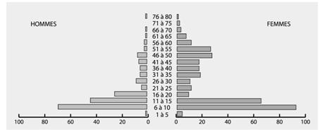
Des requêtes nous permettent également de connaître la zone de recrutement d’un club par rapport à la provenance géographique des licencié(e)s. Toutes les données des licencié(e)s sont disponibles grâce aux informations provenant des différentes fédérations sportives via les comités départementaux, ce qui nous renseigne aussi sur l’âge moyen des pratiquants dans un club ou une discipline.

 Quel est l’âge moyen des pratiquants en fonction des disciplines : Exemple le CNDR (club de natation)

 

Répondre à des questionnements à l’échelle des clubs sportifs

L’Observatoire SPODJ permet de savoir comment se répartissent géographiquement les clubs sur le territoire, mais aussi de disposer d’informations sur les associations grâce aux fiches signalétiques respectives contenant l’ensemble des données des clubs sportifs. Nous pouvons également obtenir la liste et les informations concernant les clubs qui utilisent un équipement sportif comme par exemple notre piscine couverte Barberousse.

Nous pouvons également observer l’évolution des clubs, les informations étant conservées pendant 5 années et archivées pendant 10 ans. L’ensemble de ces données permet de localiser les clubs et leur répartition à l’échelle du territoire examiné.

Connaître la localisation des équipements et leurs caractéristiques

Les équipements peuvent aussi, grâce à des requêtes, être localisés en fonction du territoire que l’on veut analyser. En effet, l’interrogation peut se faire à différentes échelles, du département à la commune, en passant par le canton, les structures communales ou les Pays.

Ainsi, à l’échelle d’une communauté de communes (en orange : le Jura Dolois) nous avons la représentation des équipements nautiques existant (carte de gauche), puis l’ensemble des établissements nautiques à l’échelle du Département (carte de droite). Ces éléments nous permettant de localiser les équipements sur le territoire communal (ou intercommunal) et ainsi de se demander si elle répond à une demande réelle en matière sportive ?


Ces informations nous permettant d’aider les élus à mieux appréhender leur territoire et à proposer à leur population aussi bien une réponse en matière d’équipements qu’en matière de déplacements à l’intérieur de ce même territoire.

Les informations concernant la zone de chalandise d’un équipement et donc la population touchée peut aussi permettre de trouver une justification politique à la conception d’un équipement sportif.


 

L’ensemble de ces données nous renseigne également sur le taux d’occupation des équipements d’une commune comparativement à celui des communes avoisinantes. Nous pouvons ainsi étudier la répartition géographique des équipements, vérifier leur taux d’occupation afin d’optimiser leur niveau de remplissage.

Interroger l’Observatoire directement à partir des territoires

Un transfert de compétence en matière sportive (aussi bien en ce qui concerne la gestion des équipements ou de l’animation) ne peut s’envisager sans une analyse préalable fine du territoire. Encore faut-il disposer d’informations (techniques sur les équipements, sur les pratiquants…) fiables.

L’analyse du territoire considéré peut aussi bien se fonder sur les territoires administratifs existants (communauté de communes, ou Pays) que sur des territoires en lien avec le bassin de vie (à 10 ou 30 minutes de distance). Cet Observatoire permet donc de concevoir son propre espace de référence en mettant en relation l’ensemble des données de chaque composante du nouveau territoire.

Conclusion

Nos territoires sont de plus en plus mouvants, se recomposant sans cessent au travers d’acteurs de plus en plus nombreux alors que les informations qui les décrivent ne cessent de se multiplier. Comprendre leur évolution, anticiper certaines dynamiques, évaluer les retombées de certaines politiques, passent aujourd’hui par la mise en place d’outils capables de rendre compte de la complexité qui prévaut à leur fonctionnement.

Il s’agit donc aujourd’hui de dépasser certaines approches et de se focaliser sur des outils globaux, fondés sur l’articulation entre systèmes d’information géographique (SIG), système de gestion de bases de données (SGBD), outils de cartographie automatique. Le cœur des observatoires que nous préconisons doit demeurer en prise directe avec les acteurs qui l’utiliseront, c’est-à-dire que nous devons organiser et lier les données de manière optimale afin qu’elles puissent converser suivant les requêtes établies par les utilisateurs.

Plus que des outils liés entre eux, il s’agit véritablement d’une nouvelle philosophie de l’observation, qui permet aux acteurs de maîtriser les multiples informations qui décrivent les territoires, en fonction des attendus de chacun et qui permet surtout de lier des acteurs qui se connaissent, mais ne coopèrent pas forcément de la manière la plus efficace qu’il soit.

Bibliographie

Augustin, J-P., «Pratiques sportives et territoires: atout des régions», in «Sud-Ouest européen», revue géographique des Pyrénées du Sud-Ouest n° 13, pp. 3-10, 2002.

Bayeux, P., «Le sport et les collectivités territoriales», Paris, PUF, 2ème édition, Coll. Que sais-je? 127 p., 1999.

Bayeux, P., Vigneau, F., «Quels outils d’observation des territoires sportifs ? », Paris, Société française de l’évaluation, «L’évaluation des politiques à l’épreuve des territoires», 14-15 juin 2001.

Bourdeau, P., Mao, P., «Nouvelles pratiques sportives de nature, nouveaux espaces…nouveaux territoires? Une problématique géoculturelle de l’accès aux espaces naturels», in L’accès du public aux espaces naturels et fonciers; outils d’analyse et méthodes de gestion, Ed. Hermès Lavoisier, 2002.

Chaboche, J., «Intercommunalité, sport et développement territorial: organisation des sociétés locales et dynamiques spatiales», Université d’Orléans, pp.99-135, Thèse de Doctorat en Géographie, 292 p. 2002.

De Sede, M-H., Moine, A., «Systémique et bases de données territoriales: des concepts et des outils pour une gestion raisonnée des territoires», Revue Internationale de Géomatique, vol. 11, n° 3-4/2001, Éditions Hermès, numéro spécial «SIG et aménagement», pp. 333-358, 2001

De Sede, M-H., Theriault, M., «La représentation systémique du territoire : un concept structurant pour les SIRS institutionnels», Paris, in «Revue Internationale de Géomatique», vol. 6, n° 1/1996, Ed. Hermès, pp. 27-50, 1996.

De Sede, M-H., «Géographie, territoires et instrumentation : état des lieux, réflexions épistémologiques et perspectives de recherche», Habilitation à Diriger des Recherches, Besançon, Université de Franche-Comté, pp. 38-40, 220 p., 2002.

Honta, M., «Les territoires de l’excellence sportive », Presses Universitaires de Bordeaux, Pessac, 354 p., 2002.

Mao, P., Dupuy N., «Vers un diagnostic des territoires de pratiques sportives de pleine nature», Grenoble, in «Montagnes méditerranéennes», n° 11, pp. 17-26, 2000.

Mao, P., «Les lieux de pratiques sportives de nature dans les espaces ruraux et montagnards: contribution à l’analyse de l’espace géographique des sports», Grenoble, Thèse de Doctorat, Institut de Géographie Alpine, CERMOSEM, Université Joseph Fourier, I, 693 p., 2003

Pigeassou, C., «Le sport et les collectivités territoriales: de l’intervention sociale à la promotion locale, politiques ou stratégie?L’exemple des Conseils Généraux», in «Sport, relation sociale et action politique», actes du colloque des 14 et 15 octobre 1993 à Talence, Bordeaux, Maison des Sciences de l’Homme d’Aquitaine, 384 p. 1995.

Praicheux, J., «Contribution à l’analyse des espaces du sport», Habilitation à Diriger les Recherches, Université de Franche-Comté, 131 p. 1993.

Ravenel, L., «Les sports de nature au sein des pratiques sportives : les problématiques de l’échelle nationale », Colloque « L’observation des sports de nature: quelles méthodes, quels outils, quels résultats? », communication orale, Valence, 29-30 novembre 2001.

Vigneau, F., «Les espaces du sport», Coll. Que sais-je? Paris, PUF, 128 p., 1998.

Vigneau, F., «Quels outils méthodologiques d’aide à l’élaboration d’une politique des équipements sportifs?», in «Sport dans la Cité», Paris, n° 161, pp. 22-24, 1999.


Notes

[1] Schémas des services collectifs du sport, DATAR, pp. 17, automne 2000, 48 p.

[2] Schéma directeur de l’agglomération bisontine, mis en révision en janvier 1996, approuvé en juin 2000.

[3] Pour un montant de 45 734 euros répartis entre DDJS 39, CDOS 39 et Conseil général du Jura.

[4] Pour un montant de 60 000 euros.

[5] Pour un montant de 30 489 euros.

Citer cet article

MOINE, A. (2006). Un Observatoire du sport départemental partagé sur internet : attendus et expérience. Insaniyat - Revue algérienne d'Anthropologie et de Sciences Sociales, 10(34), 131–146. https://insaniyat.crasc.dz/fr/article/un-observatoire-du-sport-departemental-partage-sur-internet-attendus-et-experience