إعادة إنتاج السكان : تطور النماذج

Belhacen BELMIR (Auteur)
121 – 139
العنف : مساهمات في النقاش
ع. 10 — م. 04 — 30/04/2000

عرفت الديموغرافيا في السنوات الأخيرة، تطورا كبيرا في العالم و لاسيما خلال الفترة ما بعد الحرب العالمية الثانية مع بداية الخمسينيات. لقد شاهدت هذه الفترة ازدهارا كبيراً في العلوم الدقيقة و التي بدأت تغمر العلوم الأخرى، و لا سيما فيما يخص استعمال الرياضيات العليا كمنهج جديد في التحليلات العلمية. و توصل علماء الديموغرافيا و العلوم الاجتماعية التي لها علاقة بالسكان، أو الإنسان بصفة عامة إلى اكتشاف منهجية جديدة مع مناهج و طرق حديثة في معالجة قضايا السكان. و برزت من بين هذه الطرق و المناهج طريقة النماذج النظرية الرياضية و التي يطلق عليها اسم النماذج.  و كانت النماذج الخاصة بإعادة الإنتاج السكاني في الديموغرافيا أكثر أهمية و إثارة. و الشيء الذي كان السبب في ذلك هو الحاجة إلى إعادة النظر في التوقعات السكانية السابقة التي ظهرت في آخر الأمر أنها غير واقعية. و عدم نجاعة هذه التوقعات صار صارخا، و لا سيما لما كان الأمر يتعلق بتلك البلدان التي لم تشارك على الإطلاق في الحربين العالميتين الأولى و الثانية.

العامل الثاني الذي حفز هذا الانتعاش في البحث الديموغرافي تمثل في وجود هجرة قوية، و كل ما أنجر عنها من اختلاط الأجناس الذي جعل التركيب الاجتماعي أكثر تعقدا.

المدارس السكانية

الواقع أن علم الديموغرافيا لم ينهج نفس سبيل التطور في جميع البلدان و بالخصوص تلك التي كانت رائدة في هذا الميدان. النظرية العامة للديموغرافيا و المناهج المستعملة من طرفها حاليا هو منتوج مدرستين أساسيتين مختلفتين، و اللتين ترعرعتا في ظروف تاريخية و اجتماعية مختلفة حسب كل بلد. المدرسة الأولى تمثلها المدرسة الفرنسية و على رأسها بورجوا بيشا و لويس هانري و رولان بريسا و غيرهم. إن المدرسة الفرنسية تتميز بتقاليد إدارية عريقة و التي وضع حجرها الأساسي الفيزيوقراطيون. إن وجود أجهزة إدارية متخصصة سمحت بجمع معلومات إحصائية وفيرة وثرية عن السكان، و التي ساعدت على القيام بالتحليلات الديموغرافية الكمية. جل البحوث التي كانت تقوم بها هذه المدرسة كانت أعمال إحصائية سوسيولوجية ذات طابع نظري عام اكثر منه تطبيقي.

المدرسة الثانية التي تمثل علم الديموغرافيا هي المدرسة الانجلوسكسونية و التي تتزعمها الولايات المتحدة الأمريكية. إن مؤسس المدرسة الأنجلوسكسونية يبقى بدون منازع العالم المشهور ألفريد لوتكا صاحب النموذج النظري الرياضي الخاص بالحالة الإستقرارية  لنمو السكان. الميزة التي إتسمت بها الولايات المتحدة على عكس ما كانت عليه فرنسا هو أنها لم تهتم بالإحصاء إطلاقا. و لذا لم تكن تملك معلومات إحصائية عن السكان لا من حيث الكم و لا من حيث الكيف. و لقد يدهش المرء كما قال رولان بريسا عندما يرى أن الإحصاء السكاني في الولايات المتحدة لم يصبح دوريا منتظما إلا في سنة 1902 [1] أما فيما يخص الحالة المدنية  فإنها لم تكتمل إلا في أواخر سنة 1933. قامت الولايات المتحدة بأعمال جبارة في تأسيس بنك معلوماتي عن قضايا السكان بطريقة غير معتادة آنذاك في جميع المعلومات الإحصائية الإجتماعية.

إن انفراد هذه المدرسة يكمن ليس فقط في الطرق التي جمعت بها الإحصائيات و المنهجية التي سمحت للولايات المتحدة أن تسد بها تأخرها في هذا الميدان؛ بل و أكثر من ذلك فإنها قد فتحت بها آفاقا جديدة في الدراسات الديموغرافية  قاطبة. إن الطريقة الجديدة هذه متميزة بإستعمال منهجية حديثة في المعاينة بطرق علمية متقدمة جدا. سر نجاح الولايات المتحدة في تطوير هذه الطريقة يرجع حسب الديمغرافي الفرنسي رولان بريسا إلى الدور الذي لعبته الجمعيات العلمية في النشاط العلمي المتعلق بقضايا السكان [2]. إمتياز طريقة المعاينة على غيرها راجع إلى طبيعة الطريقة نفسها التي تسمح بدراسة الظاهرة في محيطها الطبيعي و آخذة في الحسبان كل الخصائص و الميزات التي تتسم بها جميع عناصر الظاهرة. و ذلك  ما جعل هذه المعلومات فريدة من نوعها من حيث أهمية المعلومات السوسيولوجية وجودتها، الشيء الذي لم يكن موجوداً بفرنسا. و يؤكد رولان بريسا في هذا الباب أن عدم وجود مثل هذه الطرق الدراسية في فرنسا لا يعني أبدا أنها كانت منقطعة عن ما هو معمول به في العالم، لكن كانت المدرسة الفرنسية تفضل دائما التحليل الديموغرافي عن غيره [3].

إن تقاطع المدرستين جعل من الديموغرافيا أكثر تفتحاً على الميادين الأخرى و تلاحما مع مواضيع دراستها و هو الشيء الذي جعل منها علماً قطبيا ثرياً إذ إنجرت إلى شواطئه كوكبة كبيرة من العلوم الأخرى على إثر التطور العلمي و التقني الناتج عن المجرى الطبيعي لقانون الضرورة و الصدفة.

نشأة النماذج

في الوقت الحالي تقع الديموغرافيا في مرحلة إنتقال جذري و تطور في المفاهيم ومناهج التحليل الكمي. و من هذه التغيرات هو الإستعمال الواسع المفرط للرياضيات في الديموغرافيا. الغاية من ذلك هو بالدرجة الأولى إبراز  العمليات الديموغرافية و محاولة تقنينها في صفة معادلة رياضية. النموذج في أي مجال من المعارف هو عبارة عن دراسة الظاهرة في مستوى نظري أرقى تسمح بدراسة دقيقة للعلاقات الداخلية المتواجدة فيها.

و المعيار العلمي لهذه النماذج الذي يسمح به الحكم على نجاعتها أو عدم نجاعتها يكون طبعا مدى تطابق نتائج النظرية الفرضية و الواقع الحقيقي للظاهرة ذاتها عبر الزمان و المكان.

النموذج – هو أحدث أداة علمية لدراسة العلاقات التجريدية التي تبرز في صفة نموذج نظري معين.

لكن كثيرا ما تكون هذه النماذج لا تتطابق إطلاقا مع النظرية التي بنيت على أساسها. و ذلك لسبب أن النظرية تبرز علاقات غير متوقعة و تكون إما ناتجة عن تلك العوامل التي لا يحويها النموذج، و إما عن تلك العوامل التي ليس لها ترجيح كبير نظرياً.

عدم تطابق النماذج مع النظرية يعني إما عدم تكامل العوامل، إما أن النظرية ليست مبنية على أسس سليمة، و إما أن الحالتين الإثنتين معا على خطأ.

هناك عدد لا يحصى و لا يعد عن الأمثال في هذا الموضوع عن النماذج التي فشلت في العلوم الاجتماعية و الاقتصادية و لا سيما منها تلك التي تخص الإقتصاد القياسي. المراد من النموذج هم أن تكون النظرية و النموذج النظري المستوحى منها في علاقة جدلية متداخلة بحيث يكون الواحد يثري الآخر. و يكون يبتعد بقدر الإمكان من النظرية الشكلية المحضة.

إن الخبرة و التجارب في إستعمال النماذج فيما يخص إعادة الإنتاج السكاني في الديموغرافيا تبرز الدور الإيجابي الذي لعبته نماذج تكاثر السكان. تكونت نماذج إعادة إنتاج السكان على أساس نماذج تكاثر السكان  في صفته الكمية، و على هذا الأساس بالذات تطورت و زادت تكاملات المعارف في فهم النماذج المتعلقة بالديموغرافيا، و التي ماهي في الواقع إلا عبارة عن إعادة إنتاج السكان الغير منقطعة و بالإرتباط الدائم مع الهيكل العمري و الجنسي للسكان في مجرى الحركة  الطبيعية العامة لإعادة الإنتاج السكاني (الولادة و الوفاة). و تبدو هذه النماذج الرياضية الموافقة لهذه النظرية بمثابة هيكل نظري يعبر عن بعض العلاقات و الإرتباطات بين الولادة و الوفاة تجاه الهيكل العمري في ظروف معينة. و لا شك أن الجزء الكبير من تلك الظروف مأخوذ من الواقع الموضوعي بصفات و ميزات السكان الواقعية بحيث لا يمكن أن تكون جل الأطروحة مبنية إلا ما هو نظري.

صارت النماذج الرياضية أكثر تعقداً و دقة بعد التطور و التحكم أكثر في التكنولوجيا و الإلكترونيك و المعوماتية، كما ساعد من جهته الحاسوب على تأسيس نماذج مبنية على أساس النظرية الرياضية الجد متطورة ذات الطابع الأستوخستيكي. إن هذه الطريقة تمكن دراسات الحركة الديموغرافية في شكل متتالية معينة من حوادث إحتمالية، و التي تسمح بالأخذ في الحسبان عددا كبيرا من المعطيات و المعلومات ذات الطابع الإجتماعي و السيكولوجي و الفيزيولوجي و غيرها.

زيادة على النماذج الديموغرافية الرياضية المحضة، تعرف نظرية السكان بنى نظرية أخرى متعلقة بدراسة السكان و هي مبنية على أسس العلاقات المتواجدة بين العوامل الإجتماعية الإقتصادية و العوامل الديموغرافية مع إبراز مدى ربط التفاعلات بينها.

تلعب العوامل الاجتماعية الاقتصادية دورا بالغ الأهمية في التأثير على العمليات الديموغرافية، لكنها لم تتلق العناية المطلوبة في دراستها و تطورها. و تجدر الإشارة إلى أن العوامل و التفاعلات الديموغرافية المحضة المتواجدة داخل السكان معروفة أكثر من سواها. و إن الإتجاهات المتعلقة بالنماذج الرياضية في الديموغرافيا هي تلك النماذج المبنية على النظرية التي ترتكز على اقتصادية الحركة الطبيعية للسكان.

تعتمد نظرية النماذج على رصيد تاريخي  حافل بالمحاولات في كل طور من أطوار التطور العام لنظرية السكان عبر العصور.

النموذج البسيط

كان إقتحام الرياضيات للديموغرافيا و الإحصاء الديموغرافي في أواسط القرن السابع عشر. و كان السباق في بداية تلك الأعمال بين كل من غراونت و بيتي و هالي الذين كانوا قد طرحوا و أسسوا قاعدة الحساب السياسي أو الإحصاء في القضايا المتعلقة بالسكان. كتب غراونت كتاب في 1662 تحت عنوان "المشاهدة عن الوفاة" معتمدا في ذلك على الحالة المدنية في لندن و من خلالها أسس أو ل جدول للوفيات في تاريخ علم الديموغرافيا. كما قام لأول مرة بتحليل إحصائي منهجي حول السكان إنطلاقا من المشاهدات الإحصائية. لعل بيتي لعب دورا أكبر فيما يخص التحليل الإحصائي إذ دفع بترقيته إلى مستوى منهج علمي أو حتى إلى درجة علم قائم بذاته بعد صدور كتابه "الحساب السياسي"، و الذي بقي مرجعاً أساسياً طيلة قرنين. لكن الدور الرئيسي في تعميق النظرية الرياضية و التي استعملت فيما بعد في الديموغرافيا كنموذج رياضي ديموغرافي قد قام به عالم الفلك المعروف هالي. فعلا لم يكن جدول الوفيات لغراونت عملا رياضيا في الوجه الحديث الذي نعرفه عن النموذج الديموغرافي حيث تؤخذ بعين الإعتبار تفاعلات الوفيات و الولادات في إعادة الإنتاج للسكان. إذ كان غراونت هو أول من طرح الإمكانية النظرية في تأسيس نموذج ديموغرافي في التحليل الديموغرافي، فهالي يرجع له الفضل في تطوير هذه النظرية في صفتها الشمولية في الميدان الرياضي التجريدي و ترجمتها في الواقع، و أطلق عليها اسم نموذج "الثبوت" و الذي هو معروف في الديموغرافيا كحالة نظرية من الحالات الممكنة في التحليل النظري للسكان : نموذج الحالة الثابتة لنمو السكان.

كان إكتمال النظرية الشكلية للإحصاء السكاني و النظرية الرياضية في الديموغرافيا حسب بيروشكوف قد تم في القرن التاسع عشر بعد عمل طويل، حيث وضع أسس إنتظامها العالم "كتاب"، و ذلك بعد ما كان قد طورها من قبله ميدانيا كل من بيكر و زاينر و ليكسيس و ليفن و غيرهم[4].

لعب هالي دورا كبيرا حسب الإحصائي الديموغرافي أندريياف في تأسيس ثم تطوير ما كان يسمى في ذلك الوقت بالنظرية التشكيلية للإحصاء السكاني و التي كانت تدرس العلاقات المتواجدة بين المجموعات الحيوية المختلفة للأحياء و الأموات [5]. و هكذا أسس هالي جدول الوفيات لمدينة بريسلفل معتمدا على المعطيات الأولية لسنوات فترة 1687-1691 و يعتقد أن هذا العمل النظري هو المحاولة الأولى من نوعها في تأسيس النماذج الرياضية في الديموغرافيا.

على إثر تطور النظريات الرياضية و الإحصائية، و كذا تحسين معالجة القضايا السكانية من الناحية المنهجية و إختيار المناهج، حاول كثير من العلماء التوصل إلى بناء نماذج رياضية أخرى في الديموغرافيا حسب النظريات التي كانت شائعة في كل مرحلة مع مرور الزمن.

حاول بعض العلماء إكتشاف قانون تطور تعداد السكان رياضيا عن طريق مختلف النماذج، و من بينهم كانت تلك الفئة التي طرحت الفكرة عن نظرية تطور السكان حسب قانون المتتالية الهندسية. و يرى الإحصائي الروسي بيروشكوف أن أول من اعتنق هذه الأطروحة كان الرياضي الديموغرافي الإنجليزي هيل في 1677 في كتاب صدر عنه تحت عنوان "المنبع البدائي للبشرية" [6]. و من أكبر العلماء الذين أثروا افكار الديموغرافيا بأطروحاتهم الرياضية، كان أيضا العالم الرياضي المشهور إيلر الذي أضاف مفهوما نظريا جديدا آخرا إلى نظرية نمو السكان و هو مفهوم حالة السكان المنغلقة أي الحالة الديموغرافية المنعدمة من الحركة الهجروية. حسب هذه النظرية لا يتزايد تعداد السكان حسب متتالية هندسية في الحالة السكانية المنغلقة، و بالتالي فتعداد سكان العالم هو الآخر يرتفع بنفس الوتيرة. إن هذه الأطروحة مع كثير من الأعمال الأخرى في نفس الرؤية كان لها رواج كبير طوال القرن الثامن عشر، و هي التي ساعدت على نضج أطروحة و نظرية مالتوس المعروفة حيث يؤكد صاحبها من خلالها على أن تعداد السكان يتضاعف بمرتين في كل مدة زمنية طولها خمسة و عشرون سنة.

إن نظريات النماذج التي تعتمد على أطروحة التطور السريع على الشكل الهندسي كانت في بدايتها في صفة نماذج رياضية بسيطة تصف تغيرات السكان حسب الدوال الأسية و اللوجستيكية و غيرها.

إن  خصائص هذه النماذج كما هو معروف هي أنها تعتمد على فرضية الإستقرار في وتيرة الزيادة، و يبقى هذا العامل المؤشر الوحيد في تزايد تعداد السكان الطبيعي عند تأسيس هذا النموذج، و الذي يمكن طرحه بالشكل التالي :

إذا كان N(t) هو تعداد السكان الكلي في الزمن t فإن الصيغة الرياضية لهذا التطور تكون:

N(t) = N (0) е kt

حيث :

N (0) : تعداد السكاني الأصلي

K: مؤشر التزايد الطبيعي

е: أسس الدالة اللوغارتمية

إذ كان K > 0 فتعداد السكان يكون في حالة إزدياد و إذ كانت K < 0 فإنه يكون بالعكس في حالة إنخفاض. أما في حالة K = 0 فتعداد السكان يبقى مستقرا بدون تغير.

النموذج اللوجستيكي

هناك فكرة أخرى قد نالت شهرة كبيرة و هي الفكرة التي طرحت نمو السكان على شكل دالة معروفة : الدالة اللوجستيكية. و كان إهتمام الديموغرافيين تجاه الدالة اللوجستيكية من بين النماذج الرياضية التي أعطت أكثر تفاؤلا للوصول إلى نتائج بإمكانها أن تجيب على تساؤلاتهم.

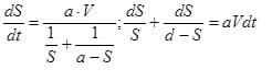
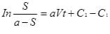
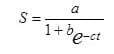
كان أول من طرح فكرة تطور تعداد السكان حسب هذه الدالة هو الرياضي البلجيكي فيرخولست في سنة 1838، ثم أتى بعده العالم الآخر المشهور روبرتسون في سنة 1879 و الذي زاد الأطروحة تعميما نظريا. أتى بهذه النظرية فيرخولست من العلوم الطبيعية و التي هي فعلا تطابق نمو عالم الحيوان و النبات. الفرق الجوهري بين هاتين المقولتين من المنظور الفلسفي هو أن المجتمع الحيواني و النباتي هو مجتمع تجريدي في ذاته، أما المجتمع البشري فهو واقعي لأجل تركيبه الإجتماعي و وعيه الجماعي. أما الدالة نفسها فهي على الشكل التالي: لنفرض أن تعداد السكان هو S و له مستوى معين  a في ظل تطور الحالة الإستقرارية لنمو السكان. فيصبح التغير مع الإختلاف الزمني d S كمايلي :

dS = VS (a-S) dt

حيث :

t : هو الزمن

V: هو معدل التوازن أو الترجيح

و بعد عملية التحويل نجد :

 

و منه :

dIn S - dIn(a-S) = aVdt


و بعد حساب التكامل للشطرين نجد :

حيث C1 و C2 هما ثابتان للتكامل :

 

ومنه :

لنرمز إلى eC1-C2 بحرف b و a V بحرف C، فنجد :


 و بالتالي :


أما الحالة للدالة اللوجستيكية فهي تبدو على الشكل التالي :

حيث a0، a1،….، an هي برامترات

و يقول الإحصائي فيناتسكي عن هذه الدالة أنها حتى و إن كانت غير صالحة للتنبؤ على المدى الطويل للمجتمع البشري أو السكاني، فإنها مفيدة جدا عندما يتعلق الأمر بحسابات التحاشي الإحصائي بين الفترات الإحصائية اللاحقة للسكان [7].

لقد إستعمل هذا النموذج الرياضي الديموغرافي من طرف كثير من الباحثين و من بينهم كان كل من بيرل و ريد المشهورين خلال السنوات العشرينيات. ثم أتى بعدهما بولتر الذي قام بمحاولات أخرى في الثلاثنات. كان في بداية الأمر هذا النموذج يتجاوب تماما مع تطور تعداد السكان و يعبر فعلا عن نزعة تغير السكان بدرجة عالية من التطابق. و كانت المحاولة الأولى التي إستعملت فيها الدالة اللوجستيكية قد جربت في الولايات المتحدة من طرف الباحثين الإحصائيين الديموغرافيين بيرل و ريد. فأخذت معطيات تعداد السكان من 1780 إلى 1940 لتأسيس هذا النموذج الرياضي الديموغرافي، و كان كل شيء يبدو على ما يرام، لكن بعد السنة 1940 لم يعد النموذج يتجاوب مع التوقع، الذي كان يجري حسابه. فخلال الفترة ما بين 1940 و 1965 م كان تعداد السكان الواقعي بعيدا كل البعد عن التكهن. إن نموذج الدالة اللوجستيكية أو دالة بير و ريد هي صالحة في بعض الحالات الخاصة من أطوار النمو السكاني، لكنها غير واقية إذا تعلق الأمر بالتنبؤ السكاني لكل الحالات من التطور و النضج الديموغرافي.

إن من بعض النواقص لهذا النموذج هو كونه لا يأخذ بعين الإعتبار الهيكل العمري للسكان و لا تعداد العوامل الإجتماعية الإقتصادية التي هي معرضة للتغيير في المكان و عبر التاريخ. كما أنه لا يأخذ في الحسبان التفاعلات بين مختلف العوامل المؤثرة على إعادة إنتاج السكان.

النموذج الأسي

أطروحة تطور تعداد السكان حسب الدالة الأسية كانت في حد ذاتها تطورا في النظرية الديموغرافية و فقرة جديدة بالنسبة للدالة اللوجستيكية في إكمال النماذج الرياضية المتعلقة بالسكان.

إن الأخذ بعين الإعتبار الهيكل العمري أو الهرم العمري للسكان عند إعداد النماذج الرياضية في التحليل السكاني كان بمثابة التكامل النظري بين التحليل العلمي الخاص بالوفيات و إرتباطها بديناميكية و نزعة تطور السكان.

و تجدر الإشارة إلى أنه في 1868 كانت النظرية السكانية المتعلقة بدراسة الحالة الثابتة للسكان في التحليل النظري الديموغرافي قد أتمت و صارت كاملة بفضل الأعمال الجبارة التي قام بها العالم الإحصائي الألماني كتاب. و كان هذا الإنجاز النظري الكبير هو الحلقة الرابطة الأساسية في سلسلة النظرية الرياضية المتعلقة بدراسة إعادة إنتاج السكان [8].

يفهم عادة بالحالة الثابتة لنمو السكان تلك الحالة من بين حالات التكاثر للسكان التي تكون فيها الوفيات العمرية ثابتة و كذا أيضا بالنسبة لكثافة الولادات أي تعداد المواليد. كما يكون كذلك الهرم السكاني و التعداد العام للسكان (مع حركة سكانية منعدمة) أيضا ثابتين. إن تعداد السكان لمختلف الفئات العمرية في الحالة الثابتة للسكان تكون متطابقة تماما مع تعداد السكان على قيد الحياة (Lx) في جدول الوفيات.

إن الدراسات المتتالية حول الحالة  القارة للسكان كانت تهتم أكثر فأكثر بكثافة الوفيات حسب الأعمار ليس فقط في حالة النمو الثابت، بل أيضا في الحالات الأخرى لما يكون النمو الطبيعي ليس فقط ثابتا لكن في حالة تغير أيضا (موجب أو سالب). كان من بين العلماء الذين أثروا نظرية الحالة الثابتة للسكان بورتكيفش و لوتكا و كرامر و غيرهم [9].

النماذج الرياضية التي تدرس هذه الحالات أطلق عليها إسم الحالة الإستقرارية لنمو السكان و كان أول من اطلق عليها الإسم هو لوتكا. الطرح الرياضي لنموذج حالة النمو السكاني الإستقراري هو عبارة عن وحدة بين دالة الوفيات حسب الأعمار و النمو الطبيعي الناتج عنها (K). و يمكن مع مختلف الفرائض عن الوفيات و الولادات تحديد تعداد السكان حسب الأعمار في ظل تغيير النمو السكاني [10].

لعب الديموغرافي  الأمريكي لوتكا دورا كبيرا في التطوير النظري لهذا النموذج الرياضي المتعلق بالتكاثر السكاني. و كثيرا ما تسمى هذه الحالة السكانية بالنمو المالثوسي عوض النمو الأسى للسكان وذلك نسبة لنظرية مالتوس المشهورة التي تعتقد أن تطور السكان يتحقق حسب تطور متتالية هندسية [11].

كان في نهاية سنة 1939 العالم لوتكا  قد أكمل نظرية النموذج الرياضي لنمو السكان في صفاتها الثلاثة : حالة النمو الأسى أو المالتوسي، حالة النمو اللوجستيكي و حالة النمو الإستقراري.

حالة النمو الأسى أو المالتوسياني يمكن تحديده بأي برامتر (paramètre)  من براميترات الديموغرافية الثابتة لكل من الهرم السكاني و معدل النمو الطبيعي و دالتي المواليد و الوفيات. فبمعرفة هذه الثوابت و بفضل العلاقات المتواجدة بينها يمكن تحديد كل الثوابت الأخرى الغير معروفة في النموذج الرياضي لدراسة السكان.

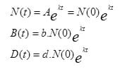
تمكن لوتكا بفضل هذا النموذج الرياضي بالتعبير النظري عن كل من تعداد السكان العام و تعداد المواليد و الوفيات السنوية و تحديد الهيكل السكاني و كذا جل العلاقات المتواجدة بين هذه البرامترات الديموغرافية. يمكن تحديد النمو الأسى أو النمو المالتوسي للسكان كمايلي:

1- الهيكل العمري للسكان و معدل وفيات السكان ثابتان. و بالتالي توزيع الوفيات حسب الأعمار يكون ثابتا أيضا.

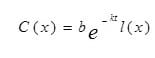
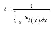
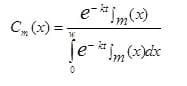
2- إذ كان x يعبر على العمر و C(x) هي نسبة الأشخاص الذين هم في العمر x (إناث و ذكور) و b  هو المعدل العام للمواليد فيمكن كتابة مايلي :

3- الوفيات و الهيكل العمري للسكان ثابتان و بالتالي فمعدل الوفيات العام (d) هو أيضا يكون ثابتا.

4-  إذا كانت الوفيات (d) و المواليد (b) ثابتان و بالتالي فمعدل النمو الطبيعي يكون هو  الآخر ثابتا نظرا للعلاقات k=b-d و من تم يمكن حساب التعداد الإجمالي للسكان في ظل النمو المالتوسي و تعداد المواليد و الوفيات في الزمنt  حسب مايلي :

حيث A هو ثابت يساوي تعداد السكان الأصلي N(0)

-B تعداد المواليد

-D تعداد الوفيات

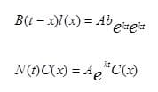
5- إذا كانت lx هي دالة الباقين على قيد الحياة لكلا الجنسين فإن تعداد الأشخاص الذين وصل سنهم إلى العمر x في الوقت t هي كالتالي :

   

 حيث C(x) نسبة فئة السكان الذين هم في العمر x

6- إذا كان w هو الحد الأقصى لعمر السكان فإن الهيكل العمري للسكان العام يمكن أن يعبر عنه بالمعادلة  كما يلي :


أو


و بما أن b غير مرتبطة بالعمر x فمنه :


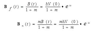
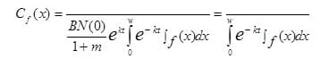
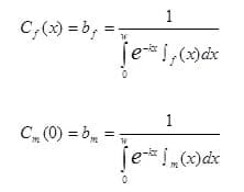
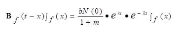
7-  إذ كان m هي قيمة فرضية ثابتة تعبر عن النسبة بين الذكور و الإناث فإن تعداد مواليد الإناث Bf (t) و تعداد مواليد الذكور Bm (t) يكون كالتالي :


و بما أن دالة الباقين على قيد الحياة للنساء òf(x) هي ثابتة إفترضيا فإن تعداد الإناث اللواتي بلغ عمرهن x في الزمن t يمكن كتابته على النحو التالي :

و منه نجد الهيكل العمري للنساء على الشكل التالي :

و بنفس الطريقة نجد الهيكل العمري السكاني للذكور.

 

حيث ∫m(x) هو توزيع  أو دالة  البقاء على قيد الحياة إلى غاية العمر x. و هي كدالة تمثل قيمة ثابتة.

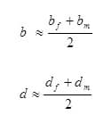
 8- إن المعدل العام للمواليد عند الإناث و الذكور هو كالتالي :


متوسط الحسابي لمعدلي المواليد عند الذكور و الإناث يساوي في الواقع تقريبا المعدل العام للمواليد بحيث أنه :


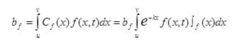
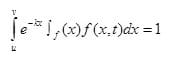
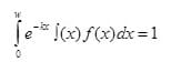
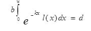
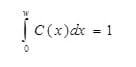
9- فإذا كانت f(x,t)  هي دالة المواليد عند الإناث اللواتي أنجبن بنتا في العمر x و في الزمن  t من بين مجموع الإناث اللواتي هي في نفس العمر فإن المعدل العام للمواليد للإناث يمكن أن يكتب في الشكل التالي :


حيث u و v هما أقصى و ادنى حد سن الإنجاب عند الإناث.

و على أساس هذه المعادلة يحصل على معادلة إعادة الإنتاج حسب النموذج الأسي، و التي هي كالتالي :

إن هذه المعادلة تربط بين الدالتين العمليتين للمواليد و الوفيات و معدل النمو الطبيعي للسكان.

النموذج الإستقراري

فمن بين العدد الكبير للنماذج الرياضية الأسية التي أسست للتعبير عن تطور السكان على حسب النمط الهندسي يوجد ثمة نموذج رياضي، و الذي ينفرد به كل بحث ديموغرافي من حيث أهميته. طبعا يتعلق الأمر بنموذج  الحالة الاستقرارية لنمو السكان. النموذج الرياضي لحالة السكان الإستقراري يعتمد على القيمة K التي تحدد وتيرة نمو السكان، و التي هي نتيجة إستقرار في التوازن بين مستويي الوفاة و الولادة. و بالتالي فيكون نموذج الحالة الإستقرارية لنمو السكان هي عبارة عن ذلك النموذج الفريد من نوعه الذي يعبر في آن واحد عن تفاعل دالتين معرفتين : (دالة الوفيات و دالة المواليد). و يكون في هذه الحالة تكامل معادلة إعادة الإنتاج السكاني يتضمن جدر حقيقي واحد و هو K =r أما ما تبقى من الجذور فهي مكونة من قيم مركبة [12].

و لقد برهن على هذه الحالة لوتكا من خلال أعماله المتوفرة عن البحوث في التكاملات. أما فيما يخص هذه الحالة بالذات فلقد حصل عليها بمساعدة إحدى معادلات بولتر.

تكون دالة المواليد f(x,t) في الحالة الإستقرارية لنمو السكان غير مرتبطة بالزمن و لهذا فيمكن كتابة هذه المعادلة الأصلية على الشكل التالي :


و من ثمة يصبح نموذج الحالة الإستقرارية لنمو السكان لا يعبر إلا على غزارة (قوة) الولادات و الوفيات حسب الأعمار دون مراعاة العامل الزمني. فبمساعدة هذا النموذج بالذات يمكن تحديد الحدود القسوى لبرامترات الحالات الديموغرافية شريطة أنها تكون وصلت إلى مستوى معين من الإستقرار.

يكون المعدل الباطني  لإعادة الإنتاج السكاني في نموذج التكاثر السكاني الإستقراري أداة معبرة عن صفة وتيرة تغير التعداد السكاني. إن المعادل الذاتي لإعادة الإنتاج السكاني هو أصلا مؤشر يعبر عن قوة و غزارة التكاثر السنوي لتعداد السكان.

و زيادة على المؤشر الإحصائي الديموغرافي يوجد مؤشر آخر و الذي يطلق عليه إسم المعدل الصافي لإعادة الإنتاج السكاني (R0)، و الذي هو بدوره يعبر عن سيرورة تبديل الجيل الواحد بالجيل الآخر.

لقد درس لوتكا في أعماله الخاصة تحليل إعادة الإنتاج السكاني في النموذج الإستقراري معتمدًا في البداية على متغير واحد و هو العمر لكلا العنصرين (دالة الولادات و دالة الوفيات). ثم بعد ذلك أخذ في التحليلات التي تتعلق بمتغيرين و هما دالة العمر x و الدالة الزمنية t. و الهدف من ذلك كان البحث عن طريقة تحليلية تكون مرتبطة بدالة الزمنt. و كما برهن عليه لوتكا هو أنه من بين كل الحالات الممكنة يوجد نموذج واحد و هو نموذج الحالة اللوجستيكية لتكاثر السكان الذي يعتبر كحالة خاصة.

إن الدراسات المتعلقة بالنموذج الإستقراري لتكاثر السكان تنقسم إلى حالتين، الحالة الأولى هي طريقة التكامل و الحالة الثانية هي طريقة المصفوفة : أما الحالة الأولى فهي تعتبر دالة إعادة الإنتاج السكاني كدالة متصلة غير منقطعة، أما الحالة الثانية فهي تدرس إعادة إنتاج السكان على أساس أنها دالة منقطعة.

و تجدر الإشارة إلى أنها من بين هاتين الطريقتين في التحليل الديموغرافي تتمتع طريقة المصفوفة بأهمية أكبر و ذلك راجع إلى عدة أسباب:

السبب الرئيسي في ذلك يرجع إلى طبيعة المصفوفة ذاتها التي تمكننا من إستعمال معلومات أولية إحصائية أكثر. و لا سيما إذا تعلق الأمر بمعلومات أولية ذات طابع سوسيولوجي أو سيكولوجي. و من هنا نرى إمتيازات طريقة المصفوفة لنموذج الحالة الإستقرارية لإعادة الإنتاج السكاني و خاصة لما يتعلق الأمر بالدراسات الديموغرافية التي تأخذ بعين الإعتبار المتغيرات الإجتماعية السيكولوجية و الإقليمية للمجموعات السكانية المدروسة. أما الجهة الأخرى و التي تكون ربما أكثر أهمية بالنسبة للباحث الإحصائي، هي أن طبيعة المعلومات الأولية الإحصائية المتعلقة بالسكان أو الظاهرة الديموغرافية بصفة عامة تكون دائما بمواصفاتها معلومات غير مستمرة لسبب أنها معلومات آنية. و لذا تكون دائما معلومات منقطعة، الشيء الذي يناسب أكثر التحليل الكيفي الديموغرافي في مثل هذه الحالات.

يجب القول أيضا أن النموذج الرياضي المؤسس من طرف لوتكا لم يكن مثاليا مثل ما يتصوره الشخص في بعض الأحيان، و لا سيما إذا تعلق الأمر بظاهرة  إجتماعية مثل ما هو الأمر في الديموغرافيا، و لهذا فمن المستحيل بناء نموذج نظري رياضي وافي قد يعبر عن تغيرات سلوك الناس في الزمان و المكان أطول من مده معينة ممكنة. حاول لوتكا هو الآخر تعديل نموذجه بعدما برهن كرميل على التناقض المتواجد في تحديد المعدل الباطني لإعادة إنتاج السكان عند الذكور و الإناث إثر حصوله على قيمتين مختلفتين. ثم حاول البعض بعد ذلك إدخال متغيرات إضافية أخرى لإثراء نموذج الحالة الإستقرارية لتكاثر السكان للوتكا حيث أخذ زيادة عن سن الأم تاريخ تأسيس الأسرة بكل ما تتضمنه من وقائع ديموغرافية مختلفة.

المفهوم الحديث

إذا كانت البحوث عن النماذج الرياضية المتعلقة بالظواهر الإجتماعية الاقتصادية قد عرفت ازدهارا كبيرا في العشرينيات، و الذي كان إنجازا عظيما في مبادئ المنهجية المتعلقة بالتحليلات النظرية  العلمية في إعادة الإنتاج السكاني، فإنها لم تجد استعمالا واسعا، و السبب الرئيسي في ذلك هو أنه لم يع آنذاك الإنسان بالأهمية التي يكتسبها مثل هذا الإنجاز العلمي إلا في السنين التي تبعت من بعد، و خاصة في تلك البلدان التي كانت أكثرها تطورا.

الأمر الذي ألفت انتباه العلماء بعد الحرب العالمية الثانية و بالذات في بداية الخمسينيات، أدى إلى إعادة النظر في المبادئ الأساسية نفسها التي ساعدت على وضع هذه النماذج الرياضية.

و كان الشيء الأول الذي شد انتباه الديموغرافيين هو ذلك التباين الصارخ بين الحالتين إذ أن الهيكل العمري للسكان في الحالة الواقعية و الهيكل العمري للسكان في الحالة الاستقرارية لم يكونا متشابهين كما كان متوقعا بل صارا مختلفين تماما الواحد عن الآخر. و صارت هذه الوضعية واضحة كل الوضوح لما صارت كل توقعات تطور التعداد السكاني على المدى الطويل تنحرف أكثر فأكثر عن التعداد الواقعي للسكان و لاسيما في تلك البلدان التي تشارك في الحرب العالمية الثانية إطلاقا.

الشيء الثاني أيضا الذي لفت إنتباه الديموغرافيين في بداية الخمسينيات هو التغير الكبير الذي قد طرأ بصفة ملموسة في ديناميكية مؤشرات الولادات و الوفيات. و  صار واضحا من خلال الإحصائيات الديموغرافية في مختلف البلدان النامية في ذلك العهد أنه في الفترة الزمنية التي لم تتجاوز خمسين سنة بعد الحرب سجلت الوفيات إنخفاضا معتبرا حيث قفز معدل توقع طول العمر عند الولادة من 32 سنة إلى 70 سنة و كذاك بالنسبة للمواليد إذ إنخفض المعدل العام لإعادة الإنتاج من 2,5 إلى 1,5. إن هذه الوضعية التي عرفتها الظاهرة السكانية عرفت بالمرحلة الانتقالية في علم الديموغرافيا. هذه الظاهرة تتميز بإنخفاض في الوفيات في بداية الوضعية الشيء الذي جعل مؤسسي النماذج الرياضية عن تطور السكان يحاولون الأخذ في الحسبان هذه الخاصية و إدماجها في النماذج لهذه المرحلة. و كان أول من قام بهذه المحاولة هو العالم الفرنسي بروجوا بيشا و النموذج الذي أسسه يسمى بشبه إستقراري [13]. بني هذا النموذج حسب المنطلق النظري بحيث أنه في حالة ما إذا كان معدل المواليد مرتفعا جدا فانخفاض معدل الوفيات لا يكون يؤثر تأثيرا بالغا على الهرم العمري للسكان. و لهذا في حالة ما إذا كانت معدلات المواليد باقية مرتفعة و معدلات الوفيات تكون في انخفاض مستمر فالهرم العمري للسكان يكون متطابقا تمام مع الهرم العمري الخاص بنموذج الحالة الإستقرارية للسكان. إن نموذج الحالة الشبه استقرارية للسكان المؤسسة من طرف بورجوا بيشا مستعملة كثيرا في التحليلات السكانية الخاصة بالبلدان الغير النامية في مرحلة من مراحل تطورها.

إن البحوث في تأسيس نموذج الحالة الاستقرارية أو شبه الاستقرارية حسب مختلف مستويات الولادات و الوفيات برهنت على أنه في حالة ما إذا كانت معدلات المواليد منخفضة فانخفاض معدل الوفيات يكون يؤدي إلى تغيير كبير في الهرم العمري للسكان و لهذا فنموذج الشبه إستقراري في التحليل السكاني غير لائق لعله يتطلب بحوثا أعمق على المستوى النظري حتى تعمم حالته الخاصة.

المرحلة الثانية من الوضعية الديموغرافية الانتقالية هي معروفة بالانخفاض في معدلات المواليد. و بالتالي كان لا بد من بناء نموذج رياضي يكون بإمكانه الأخذ بعين الإعتبار  التغيرات في معدلات الولادات حسب العمر عند الإنجاب بالنسبة للأمهات.

كان لبورجوا بيشا كثير من الأعمال في هذا الميدان لما أسس نموذج الحالة الشبه الإستقرارية للسكان، و التي تأخذ في الحسبان الترجيح بين الولادات و الوفيات حيث إشترط فيه أن يكون الهيكل العمري للسكان ثابتا مع تغير الزمن. و تكون في هذه الحالة دالة السكان الباقين على قيد الحياة و معدل النمو في العلاقة التالية :


بحيث تغيرات دالة المواليد لا تغير المعادلة التالية :


و ذلك صالح لكل قيم t.

الحد الأقصى لعمر السكان يحدد عادة في حدود 100 سنة و نادرا ما يكون 120 سنة. و ذلك لا يعني أنه ليس هناك من يتجاوز هذا الحد و إنما هو حد نظري بحث و ذو توزيع طبيعي.

الخلاصة

الديموغرافيا علم قائم ذاته و ذلك شيء واضح لكن موجود في تداخل مع كثير من العلوم الأخرى، و لهذا فإن العامل الديموغرافي هو نفس الوقت عامل اقتصادي و اجتماعي و سيكولوجي و عامل للتطور العام البشري المعقد بصفة عامة. يجب أن تكون البحوث الديموغرافية بحوثا مفتوحة، و ذلك يعني أن البحوث لا تدرس فيها العلاقات الديموغرافية الداخلية المعروفة فقط بل و كذلك العلاقات و الارتباطات الخارجية.

و لهذا فكل المناهج التي تكلمنا عنها سابقا ماهي إلا نماذج تصف المكانيزمات الداخلية لعملية إعادة الإنتاج السكاني في صفته الكلية. لكن إذا كانت النظرة الكلية تساعد على تحديد النزعة الشمولية للتطور الديموغرافي في مرحلة من مراحله التاريخية فالواقع الجزئي أي كل ما هو يحدث من تطورات و تغيرات على مستوى الأسرة الواحدة و قد يكون هو الأساس في افتعال كل هذه التغيرات الملاحظة.

هناك فرق كبير في الدراسات المتعلقة بالأسرة و الدراسات العامة في الديموغرافيا على أساس أنها تخضع لمنهجية و طرق دراسة مستقلة عن بعضها البعض إلى درجة ما. لكن في نفس الوقت لا يمكن إطلاقا أن تكون البحوث و الدراسات الديموغرافية على كلا المستويين منفصلة عن بعضها في تحليل إعادة الإنتاج للسكان. هكذا يجب أن تراعي الصفة الكلية و الجزئية كلما أردنا تأسيس نموذج إعادة الإنتاج للسكان واف و ناجع و الذي يكون بإمكانه أن يحدد الاتجاه العام لتطور إعادة الإنتاج السكاني من جهة و من الجهة الأخرى يحدد إعادة إنتاج الأسرة مع تحديد هيكلها و ذلك هو الشيء الذي لم ينجز بعد.


الهوامش

[1]- تابينوس، جورج.- عناصر الديموغرافيا : تحليل، محددات إجتماعية اقتصادية و تاريخ السكان، نشر أرمان كولين. م.آو.باريز 1985.- ص.ص. 193-215.

[2]- رولان، بريسا.- خصائص الديموغرافيا الفرنسية.- مجلة بوبيلسيون ر، 2 باريز 1996.- ص.ص.399-404.

[3]- رولان بريسا.- التحليل السكاني. المفاهيم و الطرق و النتائج. ترجمة محمد رياض  ربيع.- الجزائر، دوان المطبوعات الجامعية،1985.-ص.ص.279-324.

[4]- أنظر هانري، لويس.- الديموغرافيا تحليل و نماذج.- ترجمة د. الجلالي صياري.- الجزائر، ديوان المطبوعات الجامعية، 1984.-ص.ص. 289-387.

[5]- الشلقاني، مصطفى.- طرق التحليل الديموغرافي.- الكويت، مطبوعات جامعة الكويت، 1988.- ص.ص. 279-324.

[6]- أندريياف، أ.م.- النماذج الديموغرافية.- موسكو، ستاتستكا، 1976.-ص.ص.7-180.

[7]- بيدني، م.س..- طول العمر المتوقع.- موسكو، ستاتيستكا، 1967.-ص.ص.207-215.

[8]- بيروجكوف، س.ا..- العمليات الديموغرافية و الهرم العمري للسكان.- موسكو، ستاتيستكا، 1976.-ص.ص. 3-32.

[9]- ريباكوفسكي، ل.ل..- المشاكل المنهجية في تنبؤات السكان.- موسكو، ستاتيستكا، 1978.-ص.ص. 15-45.

[10]- ستاروفيروف، أ.ف..- الطرق الرياضية في تحليل نمو السكان.- موسكو، ناووكا، 1979.-ص.ص.23-75.

[11]- فيناتسكي، ا.ج..- الطرق الإحصائية في الديموغرافيا.- موسكو، مطبعة ستاتيستكا، 1977.-ص.ص.3-206.

[12]- فيناتسكي، ا.ج..- الطرق الرياضية المستعملة في الديموغرافيا.- موسكو، مطبعة ستاتيستكا، 1971.-ص.ص.110-197.

[13]- فيناتسكي، ا.ج..- اسس المفاهيم الرياضية الإحصائية و استعمال قوانينها في التحليل الإقتصادي.- موسكو، مطبعة ستاتيستكا، 1979.-ص.ص.7-447.

Citer cet article

BELMIR, B. (2000). إعادة إنتاج السكان : تطور النماذج. Insaniyat - Revue algérienne d'Anthropologie et de Sciences Sociales, 04(10), 121–139. https://insaniyat.crasc.dz/fr/article/iaada-intaj-alskan-ttwr-alnmadhj